Opinion
Creative Commons, CC-BY
AMUN_SHC Model for Assessing Some Environmental Impacts of Global Climatic Changes on the Agroecosystem’s Continuum
*Corresponding author: El Shazly M Hegazy, PhD Natural Resources Department, Faculty of African Postgraduate Studies, Cairo University, Giza, Egypt.
Received: November 04, 2022; Published: November 17, 2022
DOI: 10.34297/AJBSR.2022.17.002357
Abstract
Drought, heat socks, and soil salinization are from the abiotic devastating effects of global climatic changes [1]. They affect negatively the agro-ecosystem reducing water and nutrient uptake by plants’ roots and accordingly yield and plantation properties. They are common in MENA countries with a degree of extend differs from one to another according to the standards of living, poverty and the ways the governments can deal with the IPCC advice. Egypt takes the advance in the environmental policies should be adopted for mitigating the greenhouse gases emissions. Egyptian Dabaa Nuclear Power Plant is a good example for reducing the dependence upon the fossil fuel to let the engines start. Bahr Al-Baqar Agricultural Wastewater Treatment Plant, the biggest agricultural wastewater treatment plant in the world is another example dealing with the environmental policies of cutting down, reduce, recycle, or safe dispose of the gas and liquid emissions, respectively. Modifying the Richard’s equation in order to assess the impact of drought and salinity in arid and semi-arid zones of MENA countries allowed us to discover a new soil hydro-physical property, soil hydraulic capacitance, which determines the type of plants’ roots water uptake in accordance with stress, strain, and weathered controlled relationships. AMUN_SHC Model considers the additive effect of soil water potential, SSIMOD, during the reuse of low water quality or treated waste water in agricultural development [2-4].
Keywords: Drought; Salinity; Water Uptake; Richard’s Equation
AMUN_SHC Processing

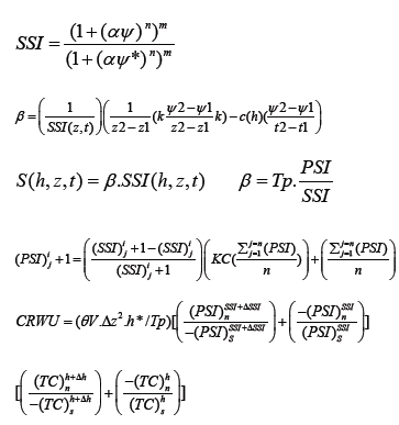
Where MO: Soil Moisture Content (v/v), S: Soil Salinity (ds/m), SSI: Soil Stress Index, PSI: Plant Stress Index, MP: Soil Matric Potential(mpa), PC: Partially Compensated Uptake FC: Fully Compensated Uptake, AVG: Average Plant Stress Index, OP: Soil Osmotic Potential(mpa),ψ= hs: Soil total Potential(mpa), ψ*=hfc: Soil Total Potential at Field Capacity(mpa), “(S(i, j))= Root Water Uptake.C(h)= C: Water Holding Capacity,” “k(h): Unsaturated Hydraulic Conductivity(l/t), n*: days,(“n,m,α): Van-Genuchten Constants.
The Code for Calc. β Capacitance
1.1. Program AMUN_SHC
IMPLICIT NONE
REAL,
Mo(1,50), S(1,50),SSI(1,50),PSI(1,50), dssi, AVG, KC,
hfc,Tp,beta,Beta1, Beta2, hs, ht, dh,Mp,Op,x,y,Zs,Zp, c
INTEGER i, j
X=0
y=0
Zs=0
zp=0
I=1
dssi=0
avg=0
kc=0
Tp=0
ht=0
dh=0
beta1=0
beta2=0
WRITE (*,*) ‘inter hfc, dssi, avg, kc, c’
READ (*,*) hfc,dssi, avg, kc, c
OPEN
(UNIT=7,FILE=”input3.txt”)
OPEN
(UNIT=77,FILE=”output.txt”)
DO J=1,50
READ (7,*) (MO(i , j))
READ (7,*) (S(i, j))
MO(I, J)= x
Mp=(x)*0.0174
S(I,J)=y
op=(y)*0.036
hs=Op+Mp
dh=hs- ht
ht=hs
SSI(I,J)= hs/hfc
SSI(I,J)=Zs
dssi= SSI(I+1,J)-SSI(I+1,J)
PSI(I, J)=(Avg *
kc*dSSI/zs)+(Avg)
PSI(I, J)= zp
Beta1= (zp*Tp)/ Zs
Beta2= (1/Zs)*(((kc*dh)-kc)-(c*dh))
beta= (beta1+beta2)/2
IF (beta.LT.tp)THEN
WRITE(77,*)”partially compensated water uptake”
ELSEIF (beta.GT.tp)THEN
WRITE(77,*)”Fully compensated water uptake”
ELSE
WRITE(77,*)” uncompensated water uptake”
END IF
END DO
WRITE(*,*)((SSI(i,j),PSI(I,J),i=1,1),j=1,50)
WRITE(77,10((SSI(i,j), PSI(I,J),i=1,1),j=1,50))
10 format(/1x,E6.3,1x/)
End AMUN_SHC
Acknowledgement
None.
Conflict of interest
None.
References
- Hegazy El Sh (2022b) New valuable tool for Assessing Some Environmental Impacts of Global Climatic Changes on the agro ecosystem’s continuum. Lap Lambert academic publishing. Republic of Moldova, Europe.
- Bazaraa A (2015) Lectures in unsaturated zone hydrology, Faculty of Engineering, Cairo University.
- Bekhit H (2015) Introduction to Computer Programing Using FORTRAN. Faculty of Engineering, Cairo University.
- Hegazy El Sh (2022a) Modelling the response of root uptake under drought and saline conditions. Lap Lambert academic publishing, Republic of Moldova, Europe.

We use cookies to ensure you get the best experience on our website.